Front Derailleur Guard 5.8 Watts

EZ Aero Front Derailleur Guard - Patent Pending.
Used in Ironman Triathlon Pro Field / BTF / ETU / ITU and inspected
If YOU run a front derailleur, THIS IS A MUST !!
"Avoid power failure due to weather conditions with the front derailleur guard, it has also been designed so that it protects derailleur from the wind throughout the whole range of movement".

Time Saving

Smooth the airflow of your front derailleur and save a massive 2-5.8 Watts across 30-50 kph.
On the 31st January 2023 at Silver Stone Sport Engineering Hub "wind tunnel"
EZ Gains independently had the EZ AFDG fully tested across YAW angles and 30/40/50kph wind speeds, and the results are out of the park.
50kph 5.8 Watts, 40kph 4 Watts, 30kph 2 Watts.
0 Yaw Watt Saving 30kph = 2 / 40kph = 4.1 / 50kph = 5.8
25 grams
Please see the attached wind tunnel data.

Available for DI2 11 Speed Models and 12 Speed Ultegra & Dura Ace DI2, SRAM, Shimano Mechanical.
(Please note the 12 speed version has 20% less mass than the 11 speed and the Watt savings will be less then above but still a large saving £ for Watts, we intend on another visit to Silver Stone Wind Tunnel soon to verify exact Watt saving).
If you want a headline simple set of data to take, here’s the power saved with a straight on wind (0 degrees yaw): 1.4 watts at 30 kmph, 4.1 at kmph and 5.8 at 50kpmh
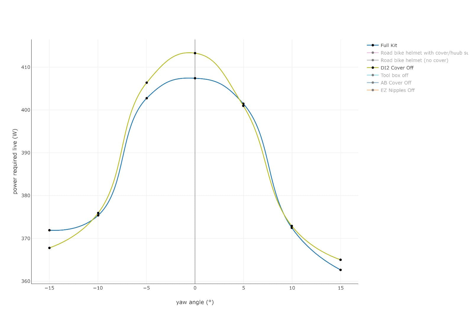
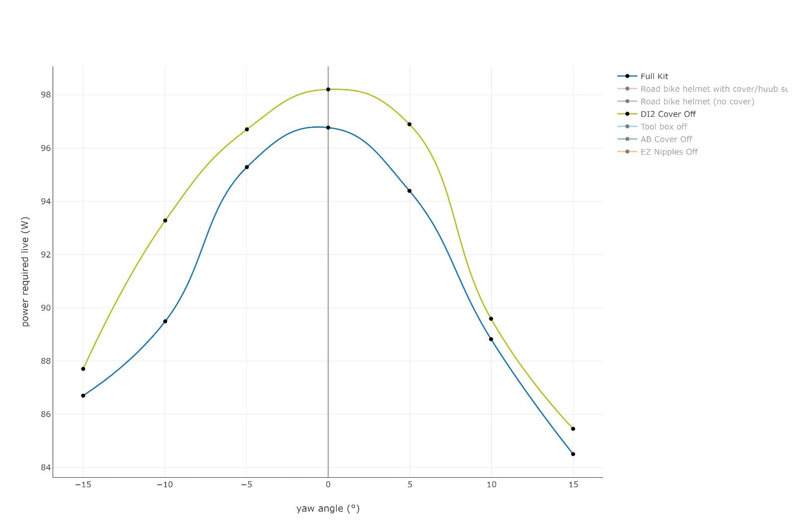
The graphs of power required show the performance graphically and are easier to get visualization at different yaws. The airspeed is in meters per second: 8.3mps is 30kmph, 11.1 is 40 and 13.9 is 50.
Light blue is without the guard, dark with it.

Wind Tunnel Speed 50kph

Wind Tunnel Speed 40kph

Wind Tunnel Speed 30kph
You can see that with the wind straight on and from the chainring side, the results are generally better (which is to be expected as the airflow is shielded by the frame from the other side).
The testing was done over a range of yaw angles and at different speeds. We were testing several potential products, which included items on the front wheel (which disappointingly didn’t reduce drag), which meant that the wheels had to be rotating at the correct speed for each wind speed. The upshot of that was that I was pedalling at a realistic cadence for each wind speed.
On a personal note, since we were testing several items, suits and helmets, with each test having just a single incremental change, the tests involving the dérailleur guard really weren’t my best drag numbers. So please don’t roast me for that!
The incremental changes for the dérailleur guard produced pretty impressive reduced drag. However, not the nice round headline numbers stated on the launch, and we can only apologise for that.
I’m not sure where those came from. There is always some data lost reducing a complex set of numbers across different axes into something simple, but these were just wrong. I expect it was some miscommunication or mistake comparing against more than one incremental change. However, it’s an honest mistake, and in the interest of transparency and not wanting to mislead anyone, this is the raw data from the test of the dérailleur guard, and still show a VERY useful drag reduction.
Screen shots here come from the Silverstone Sports Engineering Hub‘s website which does some nice graphics and conversions – we do have the raw data but showing shots direct from the website avoids any worry about data conversion errors.
Here’s the cda numbers. Top line is the wind speed in kmph. Second is the yaw angle (wind direction). The next line is the first test with the dérailleur guard on, and the last is without it, meaning any increases to the watts or cda is a decrease with the dérailleur guard on.
The change in cda is shown in brackets. Negative yaw angles are from the chainring side of the bike.


Single Chainring vs Double
we haven't tested it vs a single, but we do know the shape of the front derailleur guard is the most aero shape you can get, we feel from experience and testing that a single would maybe save 1-2 Watts, this is something we will test in the future, for me running a single just does not work if there are any bumps, as I loose so much time climbing, and having the option of a double really works for a lot of people without the watt loss, especially if you are trying to save your legs for the run, a heavy grind up a hill can take it out of your legs. I did try running a single with a 32 on the back but again this did not work for me with the cross chaining and the added size of a 32 compared to a 25-28 could again be 1-2 watts.
Shop Front Derailleur Guards
EZ Aero Chainring Guard (Carbon) & Front Derailleur Guard 6-10 Watt Saving
EZ Aero NEW* SHIMANO ONLY Chainring (Carbon) & Front Derailleur Guard 6-10 Watt Saving


















