The EZ Disc Will Improve Your Speed In These Conditions
James Teagle joined EZ Gains after confirmation that the EZ Disc was as fast as his high end disc wheel tested in 2024 at Silverstone Sports Engineering Hub.
James Teagle Professional Ironman & PTO

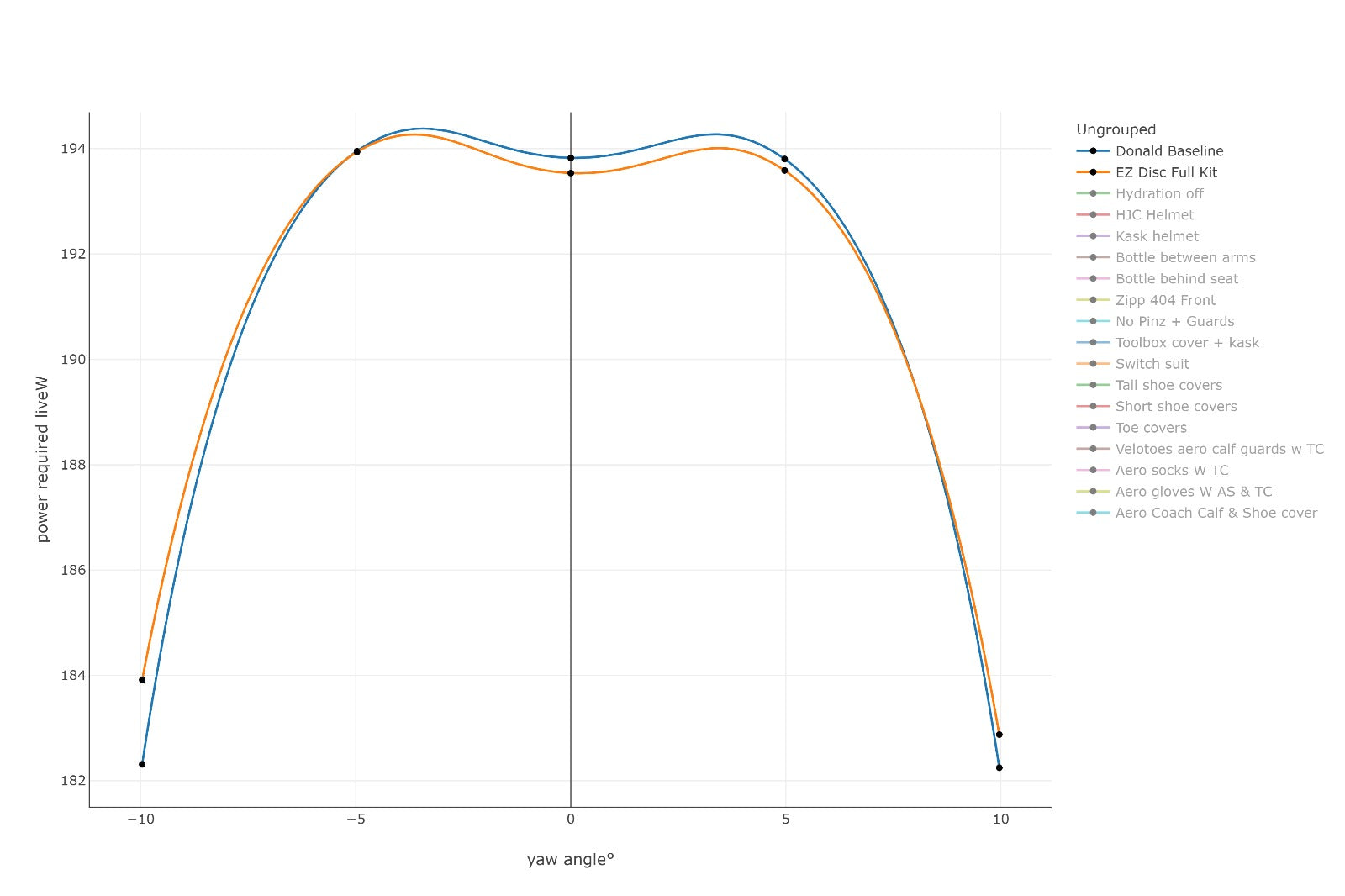
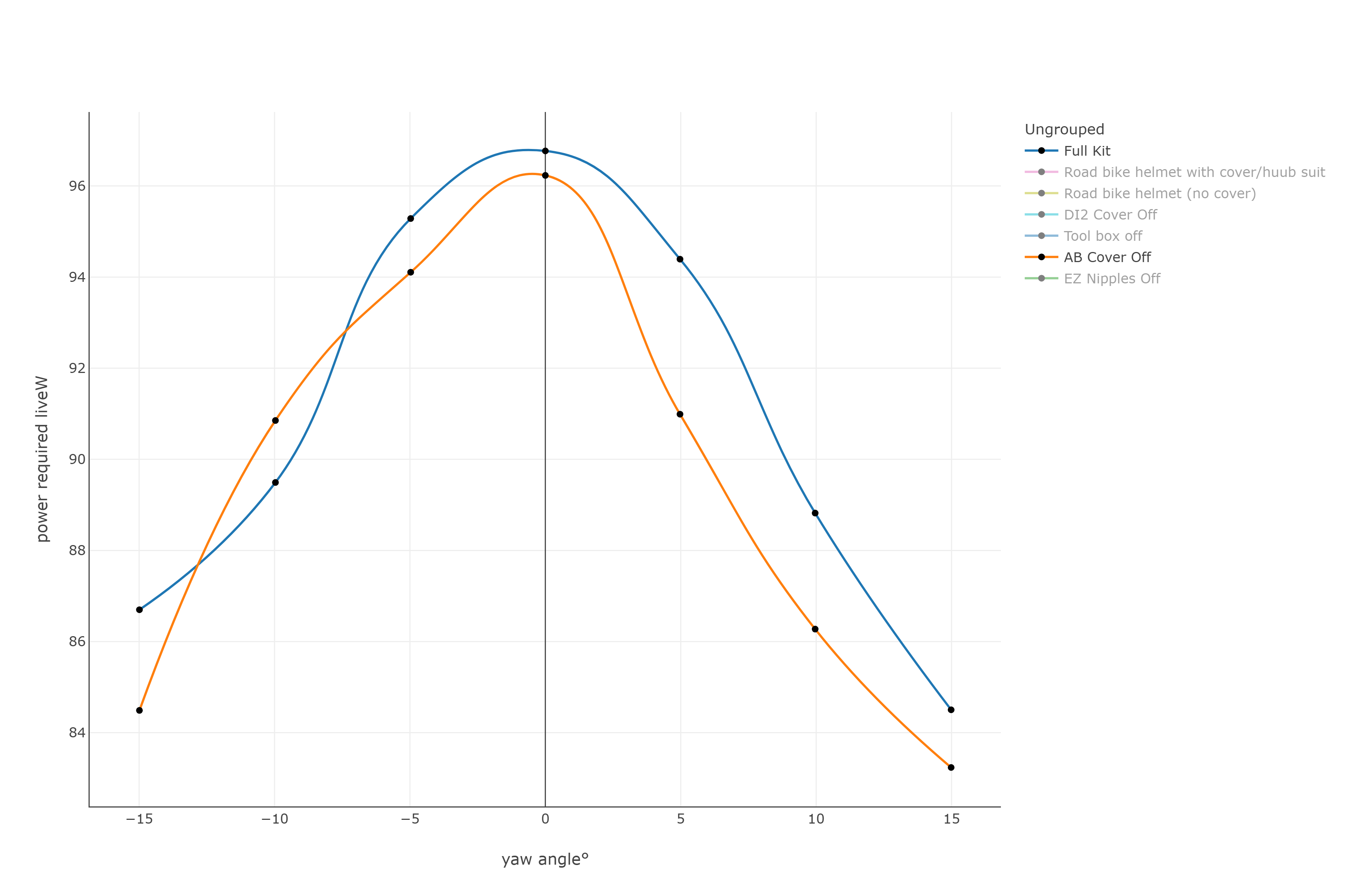
EZ Gains® Tests on Old GBR Suit vs New Huub GBR Suits
Tests were conducted at Silverstone Sports Engineering Hub wind tunnel, probably one of the best testing facilities in the world, the engineer was independent and employed by Silverstone Sports Engineering Hub, and the tests were carried out by EZ Gains® with a member of Age Group News present to validate results.

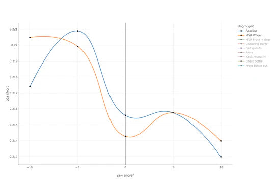
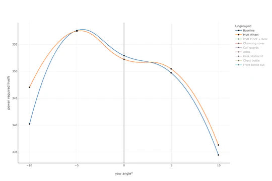
EZ Gains® Water Bottle Positions
Tests were conducted at Silverstone Sports Engineering Hub wind tunnel, probably one of the best testing facilities in the world, the engineer was independent and employed by Silverstone Sports Engineering Hub, and the tests were carried out by EZ Gains®
The Science
Mathys & Squire LLP The Shard, 32 London Bridge St, London SE1 9SG
EZ Disc-rear-front / EZAero Chainring Cover / EZ Front Derailleur Guard / EZ Hydro-Gains
Designed & Manufactured in the UK ISO 1400/9001 BSI Accredited.
Trade mark no: UK00004217827
Trade mark no: UK00004260115
EZ Hydro-Gains Trade Marked ® Registered Designs ® UK-EU
US Design Application No. 30/034,780
Trade Mark. UK00003553177 UK00004000349 UK00003985971 Disc Wheel Cover & Aero Chainring Guard Patent Awarded. Front Derailleur Guard Patent Pending - Mathys & Squire LLP.
EZ Gains® share more data then any other company in the market, this is for reasons of transparency for the customer, we also aim to help educate the athlete on their journey. We ONLY test as race realistic speeds, so the Watt savings you see are true to life.
EZ Gains do not claim to be the absolute aero experts in the industry, we do claim to be the go to company for real "Cost effective gains"
























































