EZ Gains Science | veloToze Aero Gloves








Velotoze Aero Gloves 3 Watts + (all year round use)
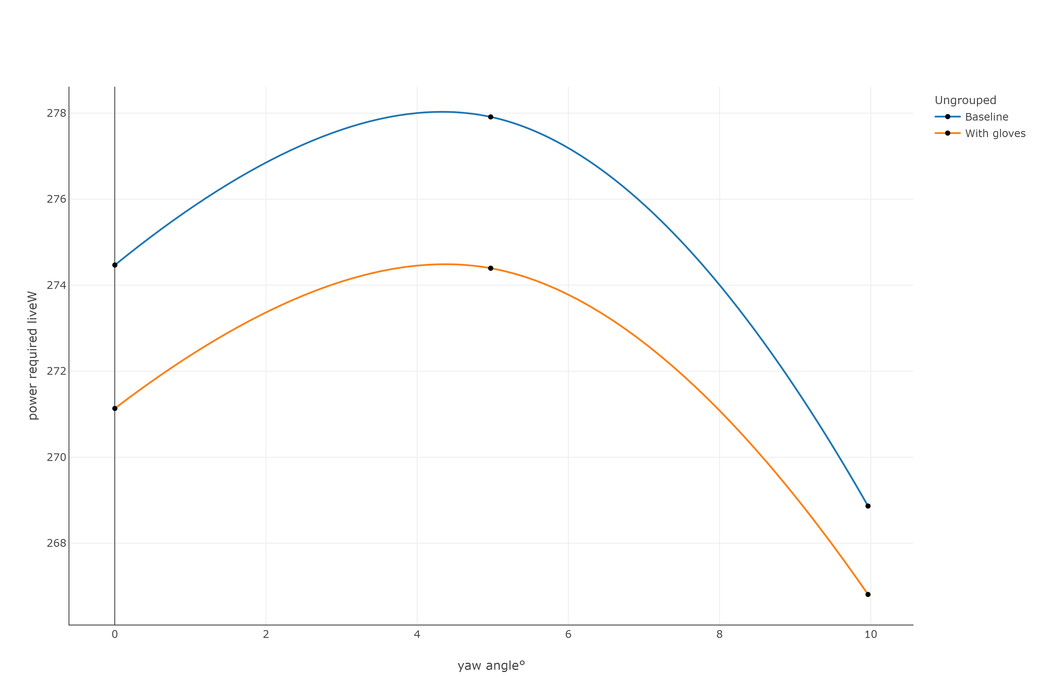
3.3 Watts @40kph
This is a great breakthrough. The tests were conducted at Silverstone Sports Engineering Hub and met all protocols @kingaidancyclist a very well-respected cyclist and was extremely pleased to find some quiet, significant gains at 40kph, his average race speed.
Not only are the gloves made from a unique ribbed aero material, they are also very well made, and have a padded layer which offers good protection in case of a crash and helps reduce palm sores.
Advanced Aero Fabric: Our Aero Gloves are meticulously crafted using advanced aero fabric that ingeniously disrupts the airflow, reducing aerodynamic drag to a minimum.
Aero Comfortable Fit: The slim-fit design of these gloves conforms snugly to your hands, providing a streamlined profile while ensuring maximum comfort for everyday riding.
Minimalist Padding: We've integrated minimal gel pads that offer just the right amount of cushion for your palms without sacrificing the crucial connection to the handlebar.
Convenient Design: Pull tabs thoughtfully placed between the fingers make the removal of these gloves effortless.
