Introducing veloToze Extra Extra Tall Aero Socks – Push Your Speed to the MaxFully Aero Tested at Silverstone Sport Engineering Hub Wind Tunnel.

Engineered for cyclists and triathletes who demand the utmost in aerodynamic advantage, these socks elevate your performance experience to new heights, quite literally. Up to a 5 Watts Gain.

Unleash the full potential of your cycling prowess with Aero Socks Extra Extra Tall - XXT.













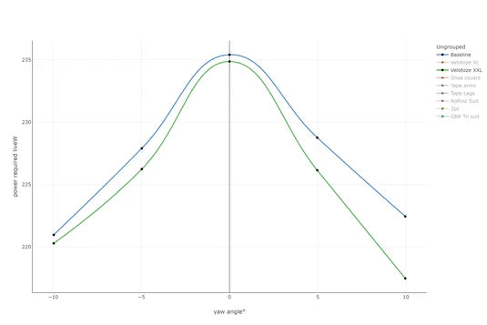
Velotoze Aero Socks - XXT 2.2 Watt Saving
Introducing VeloToze Extra Extra Tall Aero Socks – Push Your Speed to the Max
Unleash the full potential of your cycling prowess with Aero Socks Extra Extra Tall - XXT. Engineered for cyclists and triathletes who demand the utmost in aerodynamic advantage, these socks elevate your performance experience to new heights, quite literally.
Reach New Heights: The all-new Extra Extra Tall Aero Socks are purposefully crafted to extend all the way up your calf, ensuring maximum aero advantage for non-UCI events and time trials.
Aero Mastery: Meticulously designed, these socks are equipped with advanced aero fabric, revolutionizing your aerodynamic profile. By expertly disrupting the flow of air, they drastically reduce aerodynamic drag.
Stay Secure, Stay Fast: The inclusion of non-slip silicone grip dots not only prevents the socks from slipping down but also enhances their aerodynamic benefits.
Cool and Comfortable: The foot of the sock is crafted from a soft COOLMAX® blend, specifically engineered to wick away sweat, ensuring your feet remain cool and comfortable even during the most grueling rides.
Ultimate Aerodynamic Package: When every second counts, pair these Extra Extra Tall Aero Socks with our 2.0 Short Shoe Covers to elevate your cycling speed to the max.
CLICK HERE FOR SIZE GUIDE
MATERIALS
- Leg fabric: 87% polyester, 13% spandex
- Foot fabric: 65% nylon, 31% COOLMAX®, 4% LYCRA®
LYCRA® and COOLMAX® are trademarks of INVISTA
CARE INSTRUCTIONS
- Machine wash cool on a gentle cycle with like colors. Hang dry. Do not machine dry. Do not iron. Do not bleach.
