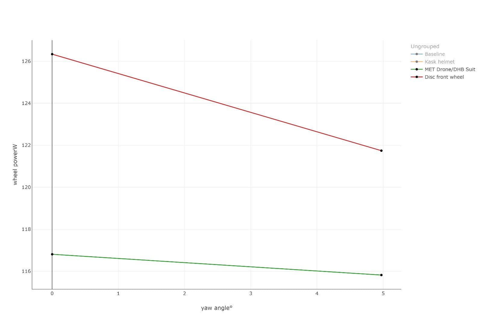
EZ Disc Front Wheel
EZ Gains tested with two different riders and EZ Disc being fitted to there front wheel, we only tested 0,5+ Yaw angles at one speed of 40kph but the benefits were quite significant. The Watt gains would improve as your speed increases.




























