EZ Gains® Testing Old GBR Suit vs New Huub GBR Suit
The below tests were conducted at Silverstone Sports Engineering Hub wind tunnel, probably one of the best testing facilities in the world.
The engineer was independent and employed by Silverstone Sports Engineering Hub, and the tests were carried out by EZ Gains with a member of Age Group News present to validate the results.
The test subject was well-respected age group athlete Ben Redman, who has been on the podium at GBR events several times.
The speed represents an age group athlete YAW angle 0-10 typical race wind directions, and being a suit would replicate the whole scope of -10 to 10+ at speeds of 35-40kph.
The test was conducted on the previous long-sleeved GBR Suit, and the percentage savings are based on this suit.
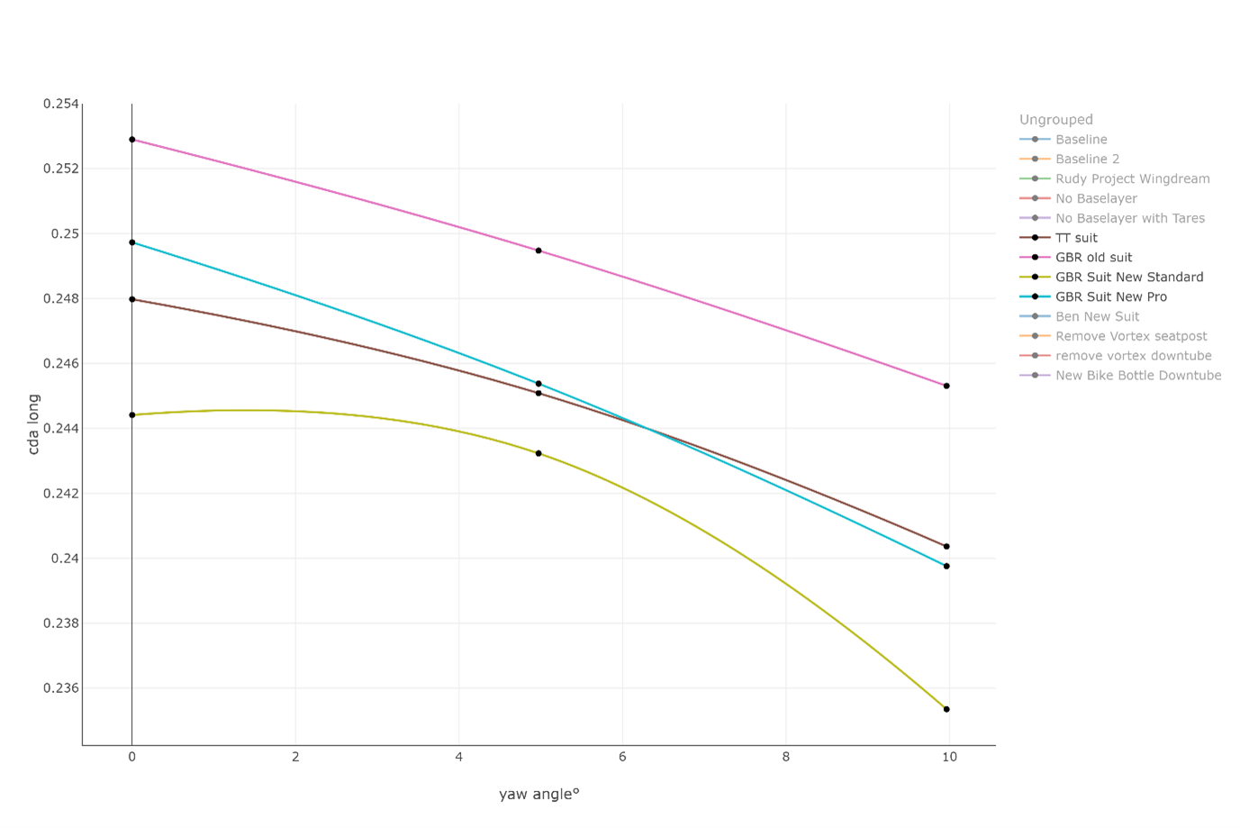
PREVIOUS GBR SUIT vs HUUB SUIT
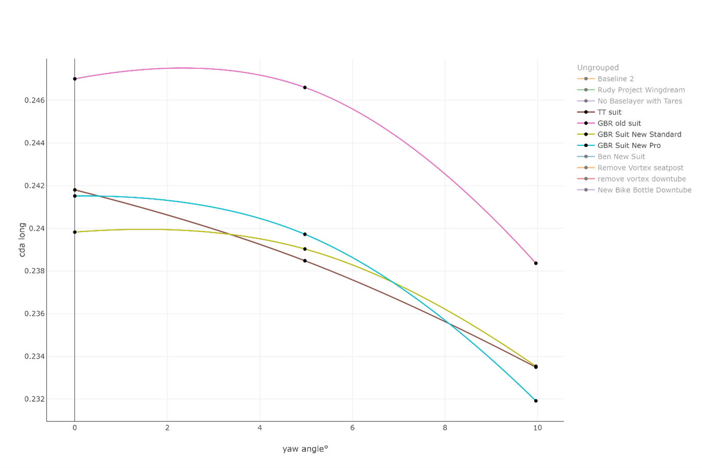
PREVIOUS GBR SUIT vs HUUB PRO SUIT
Ben asked EZ Gains to quote, “the suit itself was well made and of high quality and very comfortable”.

CDA at 35kph
I have also added a Time Trial Suit to give you an example of how fast the new HUUB suit is, it’s a massive gain over the old suit and even faster than the Time Trial suit.

CDA at 40kph
I have also added a Time Trial Suit to give you an example of how fast the new HUUB suit is, it’s a massive gain over the old suit and just as fast as a time trial suit.

The chart gives you an example of the time savings across a middle-distance bike leg, our aerodynamics engineer estimates that the Pro Huub suit would be faster than the Huub suit at higher speeds and the increase in watt savings would INCREASE as the speed goes higher.
The calculations have been done using the NEW EZ Gains Aero Calculator “due on the 10th March 2025” for all athletes to use to enable you to calculate your bike course savings and predicted times.
Please look at our extensive data page which has the EZ Gains products to help you go faster and information on performance gains.
Please look at our Community Hub Page with course maps and much more.
EZ Gains® Time Saving Products
EZ Aero NEW* SHIMANO ONLY Chainring (Carbon) & Front Derailleur Guard 6-10 Watt Saving



























