































































































































































































































































EZ Hydro Gains® Up to 12 Watts
Trademarks and Registered Designs®
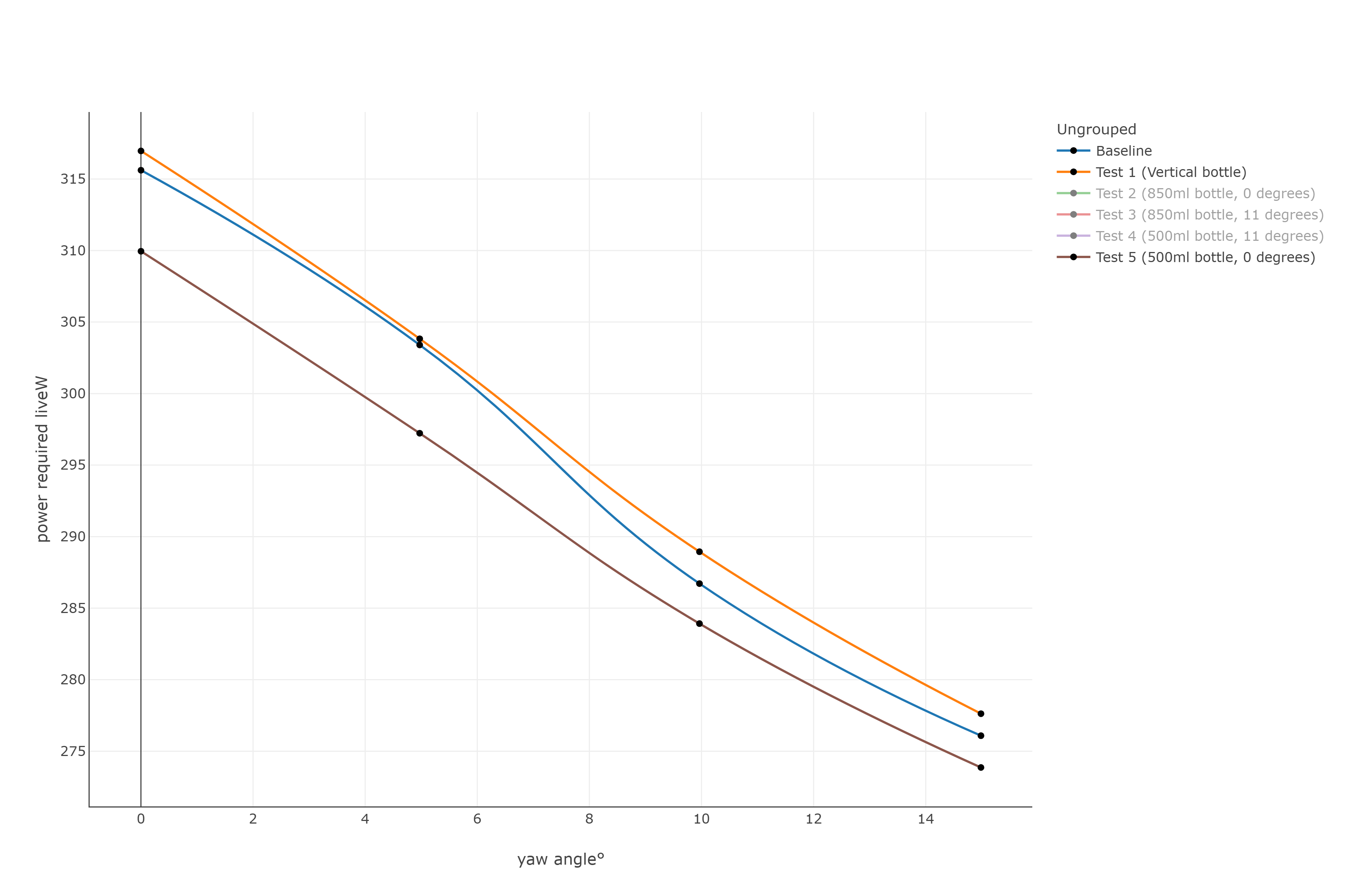
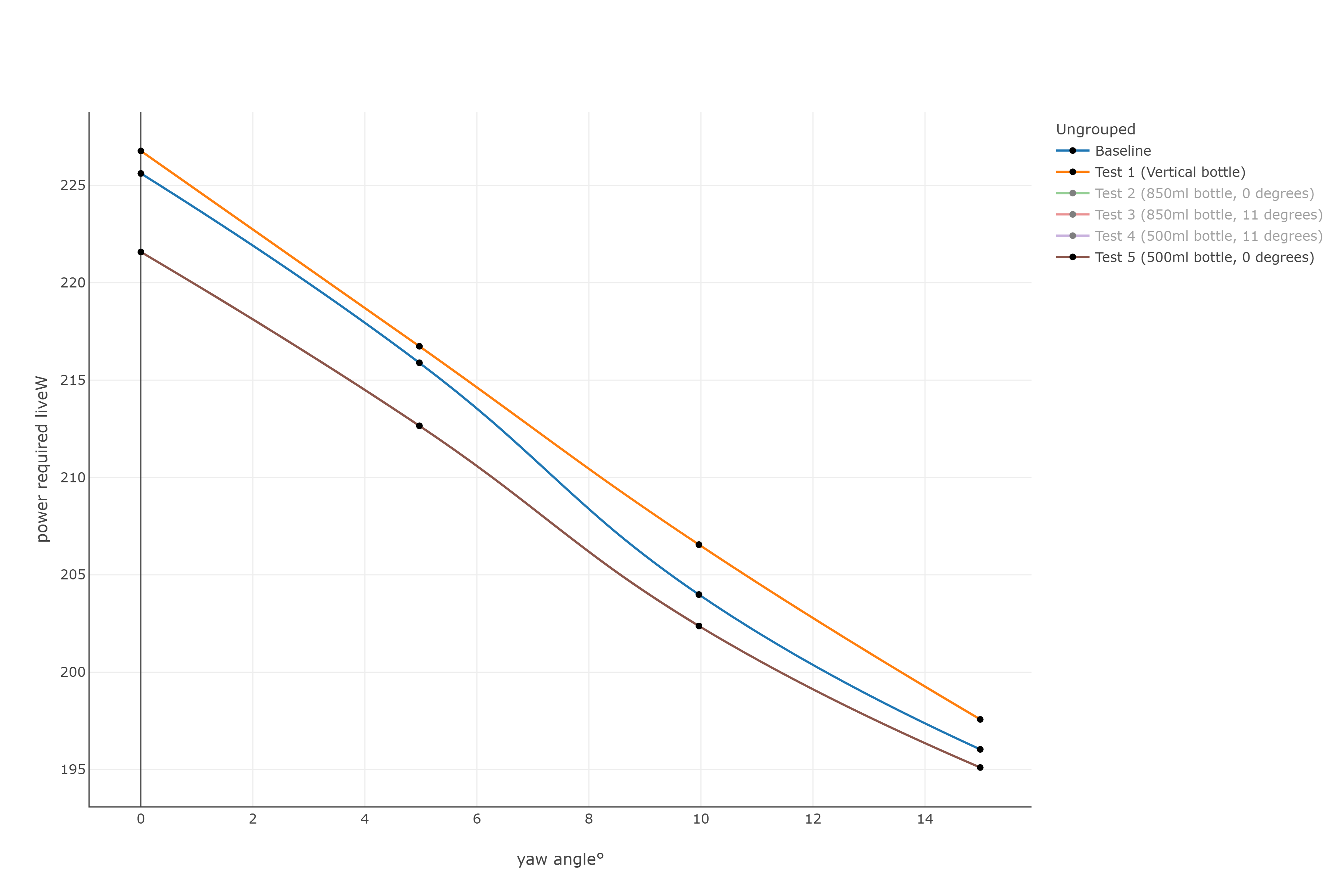
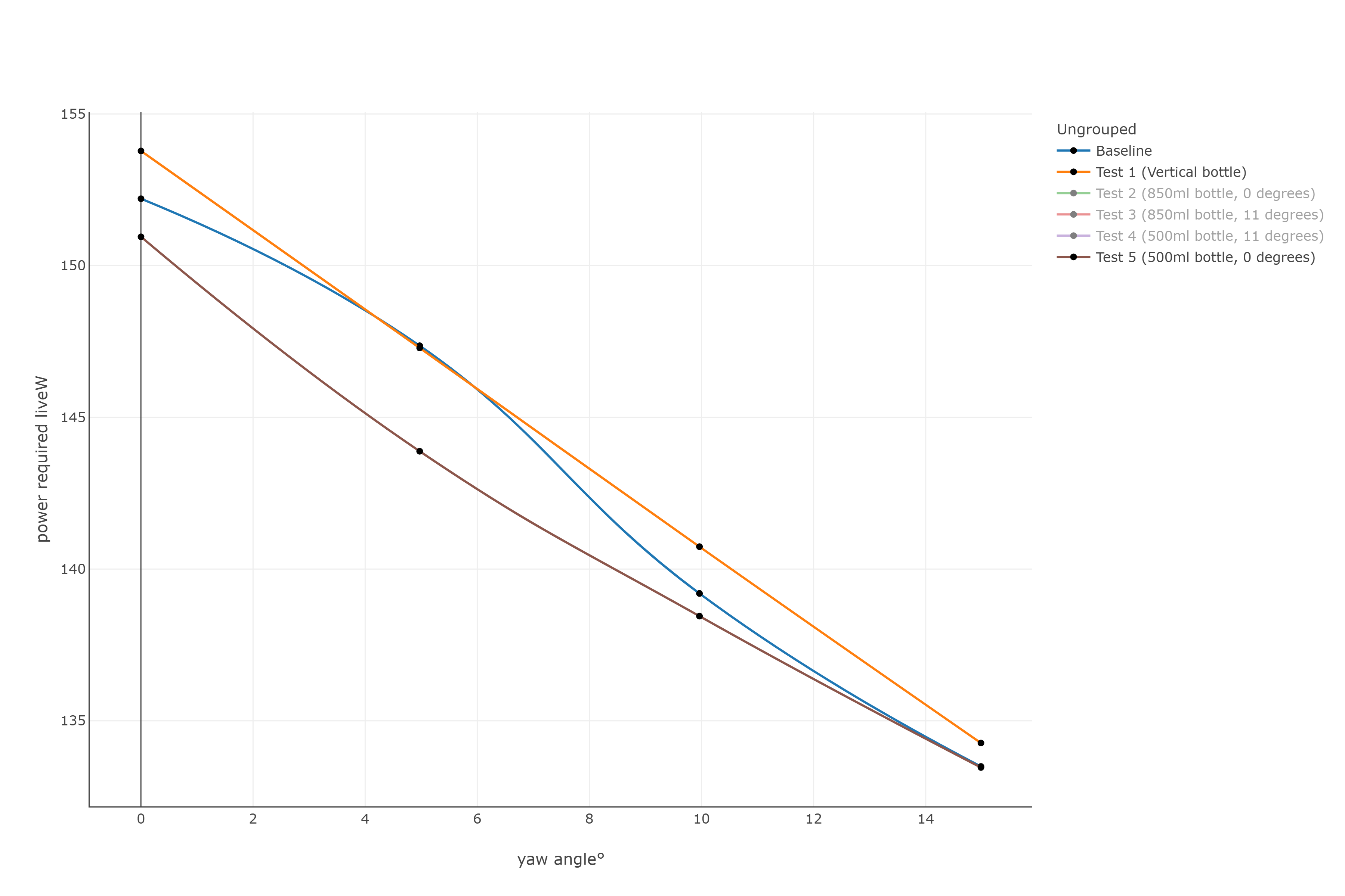
THE FASTEST & SAFEST TESTED REAR BOTTLE HOLDER ATTACHMENT. Science page
Weight testing to 33lb of weight, over 600,000 kilometres of road testing with 750ml bottles
Full list in "Seat type" EZ Gains makes them for each individual seat for best fitting unlike universal mounts.
Order Now to be first !! 2,500+ sold in the first 12 weeks !! used by the top pros and age groupers, this is a must have of rear bottle hydration
Interchangeable Double & Single if you order double. "order double mount"
Make sure you're signed up to our mailing list for new saddle releases
The purchase is for the Hydro-Gains Rear Bottle Holder Unit and does not include any saddles or bottle cage, it does come with elastics to help keep your bottles in place if required.
Individually fitted to each seat design !
Features & Benefits of EZ Hydro-Gains :
- Faster than no bottle and standard rear hydration setups
- Interchangeable saddle mounts
- EZ to Rack - see images in products
- Manufactured for your seat – best fitting, will not move about.
- Securely holds bottle – added elastic pull for added security.
- Race number area.
- Double bottle mount available.
- Interchangeable Single / Double
- Bottle position movement 0–25 degrees.
- Bottle position movement back and forward.
- Securely holds your hydration as well as adding extra watts.
- Probably the fastest rear hydration system available.
- A great marker point for optimal position on seat
- 22cm x 9 cm
- 150g
- Anti vibration washers
- Ironman, World Triathlon, German Rules Legal, PTO Legal
Please check out our science page for more information.
"Ironman Triathlon and World Triathlon have confirmed that EZ Hydro-Gains is legal to use in draft–illegal races and conforms to safety standards set out (BSI -ISO9001-ISO14001 5.03 Ironman (World Triathlon) exceeding the standards of a reputable safety standards organization (such as CPSC, ISO, or other equally reputable safety standards organizations)"
Email us your saddle information to be added to the waiting list.
Trade mark no: UK00004217827 Registered Designs UK,EU and US Patent Pending - EZ Hydro-Gains Trade Marked ® Triathlon & Time Trial Approved-ISO BSI Manufacture Regulated to the highest 3D Print Quality Standard
12 Month Warranty on a defective product - Please contact us if you have an issues.
Pairs well with

EZ Hydro Gains® Up to 12 Watts
If you have any questions, you are always welcome to contact us. We'll get back to you as soon as possible, within 24 hours on weekdays.
Shipping Information
OPTION FOR DUTIES & TAXES PAID to EU (Check FAQs)- USA, UK, CANADA. AUSTRALIA, JORDAN, KUWAIT, NEW ZELAND, OMAN, QATAR, SAUDI ARABIA, SINGAPORE & UAE = Duties Paid
Customer Support
We want to help you as soon as possible, so we have a Live chat function on our site. Just click the Chat box below and we'll get back to you as soon as we can.
FAQ’s
Whether it's product, shipping or general EZ Gains information, take a look at our FAQs page for answers to your questions.
Contact Us
Drop us an email via our Contact Us page and we'll get back to you shortly.