Time Saving Table
Figure out exactly how many watts you can save using the EZ Aero Calculator, here is an example of how much time a triathlete can save using an EZ Disc SL.
EZ Gains Rear Wheel Disc Cover: One of the first areas riders look to upgrade for aero improvements are their wheels. In time-trial and triathlon racing, many people equip their bikes with a completely covered rear wheel or a full rear disc wheel. This blocks all air from getting caught in the rear wheel and keeps it moving past quickly. On windy days, the disc may also create a sail effect, pushing the rider even faster. But bolting one of these on is not cheap. Just that rear wheel alone can cost anywhere from (£1,000 to £4,000).To make this rear wheel advantage more accessible to the masses, the team at EZ Gains has created an elegant solution to this problem. They’ve developed a simple cover made of durable and lightweight material that slips over your existing wheel, connecting securely and creating the SAME aero gains as if you purchased a fancy rear wheel. In fact, some testing suggests that depending on the wheel you install it on, the cover may perform better than a full disc wheel due to the fact of what quality hub you have, cheap disc wheel or old one often means cheap or poor-quality hub, this means if you already have a good quality wheel and add the EZ Disc this can enhance your gains, as the aero gains between and Disc and EZ Disc identical. Testing this out ourselves, we found that installation was quite simple and could be done at home with the appropriate tools (most will need a lock ring tool). Once on the bike, the feel and performance was evident. It really showed its stuff on those fast descents, capturing an extra mile or two per hour in comparison to our 80mm deep section rear wheel.
Wind tunnel testing on January 31st 2023, with independent engineers at Silverstone Sports Engineering Hub and eight witnesses.
EZGains have validated, that an EZDisc + rear wheel across 7 Yaw angles and 40 - 50Kph compared even to a top end £2,500 Disc wheel, please see the below graph.
Attended: Jack Shayler (Pro Triathlete) Ben Redman (Top GB AG) Donald Brooks (Legend) Rosie Weston (Pro Triathlete) Max Bucky (GB AG) Clint Butcher (AG - Owner)
The Ultimate EZDisc (Super Lite) this product has been wind tunnel tested, rolling tested and is as fast as a top end disc wheel, also made from a polycarbonate, when combined with the correct wheel it can weigh the same as a disc wheel 400g -600g depending on EZDisc SL size this is 1/3 lighter then the original EZDisc.
Outside testing - Aero Sensor
Watt Savings for different speeds using an EZ Disc SL compared to without it! This shows the watt savings at 5° Yaw which is the most common yaw angle most riders sit around.
2nd Test March 2024.Test for confirmation for James Teagle Professional athlete, James being at the cutting edge of the sport were every second counts wanted confirmation the EZ Disc was as fast as his Disc wheel. "we are happy to say it was".
The below images are taken from a video camera in Silverstone Wind Tunnel over a 20-minute period.
It allows very slight movement so you can pedal and breathe. This is the testing protocol set out by Silverstone Sports Engineering Hub and used by top athletes and equipment testing in the world. The process is independently run by the staff of Silverstone, not EZ Gains, so we meet their protocol.
- The new EZDisc Super Lite is as strong, stronger then a disc wheel and when added to your own wheel the weight can be as light as a disc wheel only weighing around 400g-600g.
- The EZDisc was tested at Silverstone Sports Engineering Hub and compared to a top end disc wheel “graph below at 40kph, the orange line is a EZDisc with a lower CDA".
- The EZDisc team also went to the extent of proving that an EZDisc added to a good back wheel can match a good disc wheel, The EZDisc SL actually rolled at a lower watts required using exactly the same tyre and exactly the same conditions. “see rolling rig machine and rolling rig results EZDisc showing lower watts”.
- The EZDisc has also been proven to add structure/stability to the bike and act as a disc wheel, also giving you the full whooshing sound.
- Recent tests have shown an EZ Disc + a wheel actually adds stability
- When using an EZDisc outside this can give you a push effect from side and rear winds and adds aero benefits with head-on winds giving you on average saving of around 2 minutes and 30 seconds over a 90k route hilly or not, as outdoor tests were also carried out to show this.
- You only have to buy one wheel !! this saves so much money and when traveling you always have the option to take of the EZDisc of if disc wheels get banned.
- So in short its as fast as a disc wheel, stronger then a disc wheel, saves buying two wheels its an absolute no brainer!!

Roll Testing Rig - Silverstone Sport Eng Hub
NOT ENOUGH ? ok lets take this one step further for you, Silverstone Sports Engineering Hub have recently developed a rolling resistance rig, this is to identify quiet simply "what rolls at lower watts given the exactly same test condition"
Wheel 1 EZGains tested a sub £900 wheel and a EZDisc vs a £1,000 Disc wheel (Wheel 2), the results favoured EZGains.

Rolling Rig Silverstone SEH
Taken accross a range of speeds, it shows the EZ Disc + CES Wheel rolls better than the disc wheel, under the exact same conditions.

Rolling Rig Results
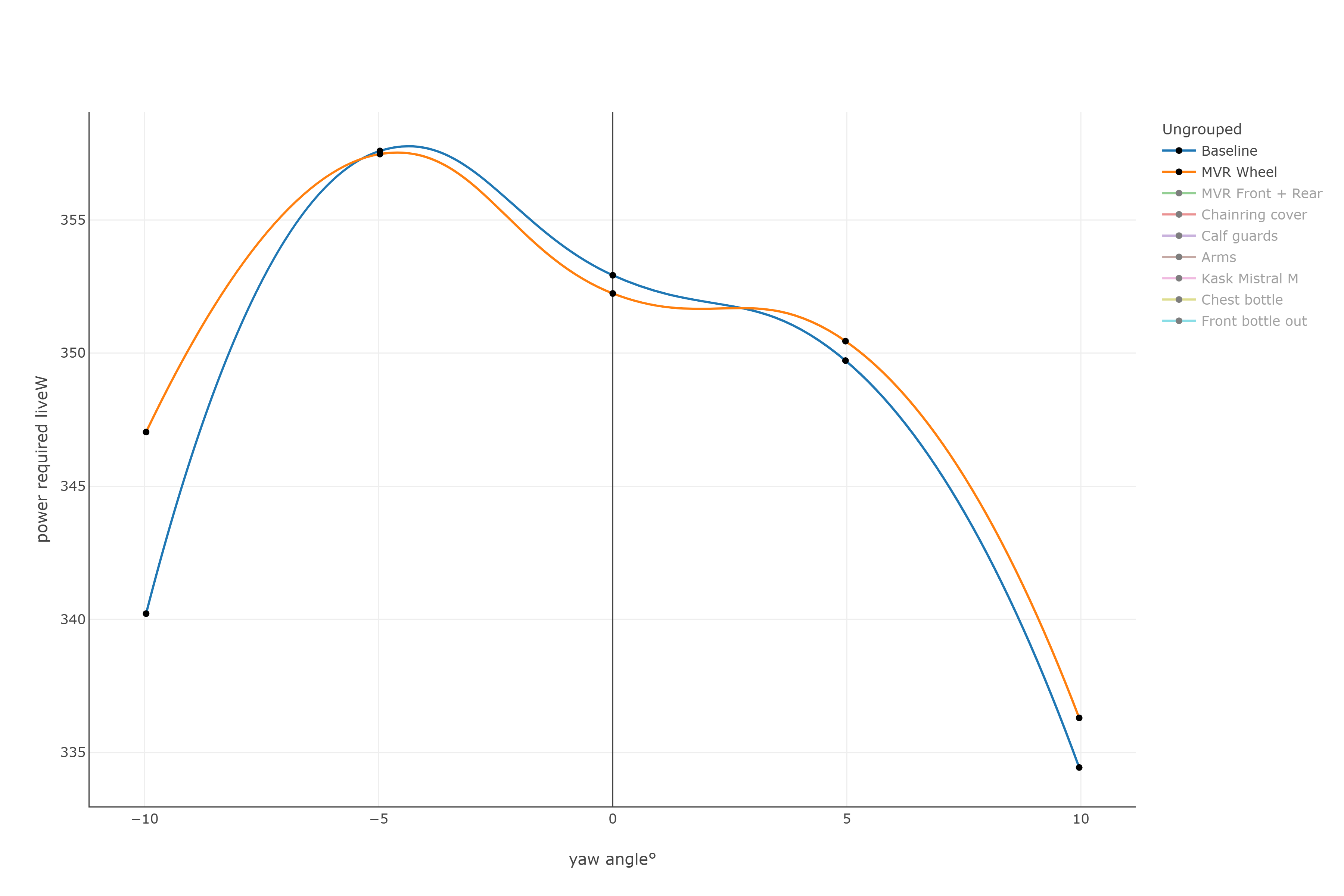
You can see the power required live.
Wind Tunnel EZDisc Aerodynamics Testing
The idea was to validate that putting one of these covers on your wheel actually makes you faster. Spoiler – it does!
We had an array of quality carbon wheels of different depths with EZDisc covers for each, one aluminium box rimmed training wheel, one relatively cheap disc wheel and one relatively expensive disc wheel to play with.
The test itself was with the wheels on my TT bike, with the wheels spinning, without a rider. Why? The rider adds far more drag than a wheel so unintentional movements can mask the differences the wheels make.
We tested with wind speeds of 30, 40 and 50kmph, with wind angles of -15 degrees through to 15 degrees. The results were unequivocal!
This graph shows lines, one per wheel, for the aerodynamic drag (the “CDA“), including the bike, against the wind angle (the “yaw”). It’s averaged across the wind speeds. The lower the CDA, the better.
As you’d expect the training wheel performed worst (the top line in dark grey). Then there is a group of all the carbon wheels. Surprisingly the depths from 38 to 88 all performed similarly, with the deeper rims just outperforming the shallower ones at higher yaws.
Then there is a grouping containing the real disc wheels and the disc wheels with covers. There’s very little difference between these.
These distinct groupings show the disc covers improving the aerodynamics of the wheels up to the same performance as normal disc wheels!
Bearing in mind these are a fraction of the cost, this is a pretty big finding! What do those figures mean in terms of racing?
Plugging the differences between the wheels with and without the disc into a calculator or directly using the formula you can work it out the saving.

The above tests were conducted using the EZ Disc and not using the rim tape in 2021 without a rider, just to make it clear that by adding an EZ Disc you will go faster.
That’s a pretty impressive improvement, especially considering these were some pretty high-end wheels to start off with. Comparing the aluminium box rim training wheel to the 88mm with an EZDisc cover or real disc wheels, you can see it’s practically the same time savings EZDisc / 88mm / 20mm "its clear difference with an EZDisc. We also in the earlier days used Aero Weenie to crunch the numbers from our tests, this is in real world.
Outside Testing
For our formal testing we manage all the variables as best we can. We conducted our repeat runs on the same hilly route, on the same day with one rider on one bike, just changing the rear wheel from a standard one to one with an EZDisc fitted.
When testing out door you will always get a more positive result then the wind tunnel testing as you will also have a "push factor" from side and rear winds, any front winds will travel over a smoother surface faster.
We have now also had feedback for 100s of riders with over 8,000 EZ Disc riders confirming the below average time savings.








































